Волоконный MOPA лазер для лазерной обработки материалов
Преимущества волоконных MOPA лазеров для маркировки.
1Санкт-Петербургский Национальный Исследовательский Университет Информационных Технологий, Механики и Оптики
2АО «Ленинградские Лазерные Системы»
3JPT Opto-electronics (Китай)
Установки для лазерной маркировки на основе волоконных лазеров наиболее распространены и применяются в широком спектре областей: электроника, машиностроение, пищевая, медицинская, упаковочная промышленности и т.д. Рынок волоконных лазеров представлен лазерами с модуляцией добротности (Q-switch) и лазерами с конфигурацией МОРА, вследствие чего часто возникает вопрос, в чем разница этих технологий.
Ключевые слова: лазерная обработка, конфигурация МОРА, волоконный лазер
Keywords: laser processing, MOPA configuration, fiber laser
Волоконные лазеры с модуляцией добротности
Волоконные лазеры с модуляцией добротности могут генерировать импульсы длительностью от десятков до сотен наносекунд. Максимально достижимая энергия импульса, по существу, ограничена энергией насыщения (даже для волокон с большой площадью моды) и порогом разрушения волокна (последнее имеет существенное влияние при генерации коротких импульсов). Лазер позволяет генерировать излучение с частотой в диапазоне от 1 до 500 кГц.
Для некоторых задач обработки материалов требуются лазеры, генерирующие интенсивные наносекундные импульсы. Здесь волоконные лазеры с модуляцией добротности ограничены с точки зрения пиковой мощности: различные нелинейности, возникающие при прохождении мощных импульсов через волокно, ограничивают пиковую мощность до нескольких мегаватт. Фактически максимально достижимые пиковые мощности обычно ниже 1 МВт, даже для волокон с большой площадью моды.

Схема волоконного лазера с модуляцией добротности.
С другой стороны, высокий коэффициент усиления волоконных устройств позволяет реализовать гибкие волоконные лазеры с конфигрурацией MOPA с лазерным диодом с модуляцией усиления в качестве задающего лазера. Этот подход, в отличие от Q-switch, позволяет изменять длительность импульса независимо от частоты повторения импульсов.
Волоконные МОРА лазеры
Конфигурация МОРА - Master Oscillator Power Amplifier (задающий генератор - усилитель мощности) - является самой технологичной системой на данный момент. В традиционных однокамерных лазерных системах приходится выбирать между шириной полосы и мощностью излучения. С технологией MOPA больше не придется идти на этот компромисс.
Конструкция МОРА является двухкамерной, ее образуют задающий генератор и усилитель мощности. Задающий генератор (обычно лазерный диод с волоконным выходом) предназначен для генерации излучения небольшой мощности и c очень узкой шириной полосы. Это излучение используется в качестве затравочного во второй активной среде, которая действует как усилитель мощности, где излучение усиливается до определенного уровня с сохранением его основных параметров. В большинстве случаев усиливающей средой является стеклянное волокно, легированное редкоземельными ионами, такими как эрбий, неодим, иттербий и т.д. Одно из преимуществ этой системы заключается в том, что она не требует задающего пучка высокой мощности, а при этих условиях проще реализовать узкую ширину полосы частот. Способность конфигурации МОРА увеличивать выходную мощность излучения без изменения геометрии системы делает технологию самым популярным методом масштабирования мощности.
MOPA обеспечивает генерацию импульсов с частотой от 1 до 2700 кГц и большей амплитудой, чем у лазера с модуляцией добротности. За счет этого MOPA-лазер обладает отличными от технологии Q-Switch результатами маркировки и гравировки некоторых пластмасс и металлов.
Преимущества:
-
Высокая эффективность усиления мощности;
-
Относительно простая система охлаждения;
-
Высокое качество пучка (ограничено дифракционным пределом);
- Усиление достигает десятков дБ, что значительно выше у твердотельных усилителей.
Сравнение характеристик волоконных лазеров МОРА JPT и лазеров с модуляцией добротности (Q-switched)
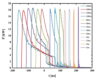
1. Форма импульса

Рис. 1 - Q-Switch лазер: пиковая мощность проседает при увеличении частоты, длительность импульса не может быть отрегулирована.

Рис. 2 – Лазер МОРА JPT: поддерживает высокую пиковую мощность при различной частоте повторения и длительности импульсов.
2. Пиковая мощность
С увеличением частоты следования импульсов пиковая мощность при добротности проседает и зачастую становится меньше порога разрушения материала. Лазер МОРА сохраняет высокий уровень пиковой мощности при высокой частоте следования импульсов.
Низкая частота:

Высокая частота:

Рис. 2 – Сравнение пиковой мощности лазеров Q-switch и МОРА при высоких и низких частотах: а) низкая пиковая мощность (ниже порога разрушения); б) высокая пиковая мощность, короткая длительность импульса.
3. Характеристики включения/выключения генерации излучения
Лазер МОРА имеет улучшенные характеристики включения/выключения генерации излучения: быстрое время нарастания и спада фронтов импульсов. Представлены осциллограммы для лазера JPT YDFLP M6+.

Рис. 3 - Характеристики включения/выключения генерации излучения MOPA лазера
Рис. 4 - Характеристики включения/выключения генерации излучения Q-switch лазера
4. Нулевая задержка
Функция контроля первого импульса. При этом отсутствует задержка отклика и подавление первого импульса.

а) Q-switch лазер

б) Лазер МОРА JPT
Рис. 5 – Результат гравировки
5. Контроль каждого импульса
JPT MOPA управляет каждым отдельным импульсом и дает регулярную матрицу импульсов заданными рабочими параметрами. Благодаря этой функции лазер обеспечивает высокие показатели качества маркировки QR-кодов, штрих-кодов, растровых и векторных изображений.
а) Q-switch лазер: нерегулярная последовательность импульсов
б) Лазер JPT MOPA: идеальная матрица импульсов.
Рис. 6 – Сравнение последовательности импульсов лазеров
6. Утечка мощности
У JPT MOPA отсутствует утечка энергии, что хорошо заметно при сравнении маркировок QR-кода. У маркировки, выполненной лазером МОРА, более высокая четкость, особенно при небольшом размере QR-кода.
а) Q-switch лазер
б) Лазер MOPA JPT
Рис. 7 – Сравнение результатов маркировки
Волоконные лазеры МОРА и YAG лазеры
Волоконные лазеры МОРА и YAG лазеры
Несмотря на то, что YAG лазеры и волоконные лазеры MOPA обладают схожими возможностями маркировки и гравировки на различных поверхностях и материалах, а результат их работы практических аналогичен, все больше компаний обнаруживают конкурентное преимущество использования волоконных лазеров MOPA.
YAG лазеры - твердотельные лазеры с ламповой накачкой и кристаллом алюмо-иттриевого граната в качестве активной среды. YAG лазеры обладают не очень высокой эффективностью и подвержены распространенным проблемам разрегулировки. Их лампы имеют короткий срок службы и нуждаются в частой замене. Также они выделяют большое количество тепла и требуют водяного охлаждения.
В отличие от YAG лазеров, для волоконных лазеров MOPA качестве механизма накачки используются полупроводниковые диоды, в качестве усилителя - легированное оптическое волокно. Для волоконных лазеров легированное волокно также служит резонатором. Маленький объем по отношению к большой площади поверхности обеспечивает эффективный теплоотвод. Волоконные лазеры MOPA намного надежнее и эффективнее традиционных твердотельных лазеров.
Установки для лазерной маркировки на основе волоконного МОРА лазера
Сравнение установок для лазерной маркировки на основе волоконных лазеров MOPA и лазеров с модуляцией добротности.
1. Удаление слоя оксида алюминия
Современные электроника становятся все легче и тоньше. Большинство производителей мобильных телефонов, планшетов и компьютеров используют легкий оксид алюминия в качестве внешней оболочки своих изделий. При маркировке на тонкой алюминиевой пластине лазер с модуляцией добротности может легко вызвать деформацию материала и выпуклость на обратной стороне, что напрямую влияет на внешний вид изделия.
Лазер МОРА позволяет выполнить более точную маркировку без деформации материала. Это связано с тем, что лазер MOPA позволяет настроить небольшую длительность импульсов лазерного излучения, которые воздействуют на материал в течение более короткого времени, но с достаточной энергией для удаления анодного слоя.
Таким образом, для удаления слоя оксида алюминия с тонкой пластины лазеры MOPA - лучший выбор.
2. Черная маркировка на анодированном алюминии и цветная маркировка стали
Алюминий является одним из наиболее часто маркируемых материалов и используется во многих отраслях промышленности.
Крупнейшие производители электроники, такие, как Apple, Huawei, ZTE, Lenovo и Meizu используют лазерную маркировку для нанесения идентификационной информации на поверхности своих изделий из анодированного алюминия. Требование к такой маркировке – высокая точность и черный цвет. На настоящее время отвечать таким требованиям может только лазер MOPA. Поскольку лазер MOPA имеет широкий диапазон регулировки длительности и частоты импульса, короткая длительность импульса и его высокая частота обеспечивает черную маркировку поверхности материала. Различные комбинации параметров приводят к различным оттенкам серого. Так же, подбором параметров, можно выполнить цветную маркировку на нержавеющей стали..[2]
Рис. 8 - Черная маркировка на алюминии
Рис. 9 - Цветная маркировка на нержавеющей стали
3. Прецизионная обработка электроники, полупроводников
Прецизионная обработка электроники и полупроводников требует тонкой линии. Лазеры с модуляцией добротности не обеспечивают регулировку параметров длительности импульса. Конструкция MOPA за счет этой способности позволяет выполнять маркировку тонкой линии с гладкими краями.

Рис. 10 – Пример маркировки QR-кода на PCB при помощи лазера МОРА
Пластмассы и полимеры являются наиболее распространенными материалами, нуждающимися в маркировке. Разнообразие видов пластиков затрудняет их однозначную классификацию. Излучение одной длины волны может выполнять качественную маркировку на одном виде пластика, и в то же время не оставлять абсолютно никаких следов на другом.
Наиболее распространенным методом маркировки пластмасс и полимеров является изменение цвета. При этом энергия лазерного луча идет на изменение молекулярной структуры материала, что приводит к изменению его цвета без повреждения поверхности. На некоторых пластмассах может быть выполнена гравировка.
Наилучших результатов маркировки пластиков достигают зеленые (532 нм) или УФ-лазеры (355 нм). Излучение этих лазеров эффективно поглощается в широком спектре пластмасс.
МОРА лазеры, за счет широкого диапазона настройки частот и длительностей импульсов, также показывают неплохие результаты.
|
|
|
|
|
|
Таблица 1 - Возможности применений волоконных лазеров МОРА и лазеров с модуляцией добротности. [2, 3]
| Задача | Q-switch лазер | МОРА |
| Удаление слоя поверхности с тонкой пластины оксида алюминия | Деформация поверхности | Деформации поверхности нет |
| Черная маркировка анодированного алюминия | Не выполняется | Возможность добиться различных оттенков черного настройкой параметров |
| Прецизионная обработка электроники, полупроводников | Слишком большая длительность импульса не позволяет выполнить прецизионную обработку | Более качественное пятно излучения, настройка длительности импульса, точная настройка энергии позволяют выполнять обработку |
| Глубокая гравировка металла | Грубая заливка | Качественная заливка |
| Черная маркировка нержавеющей стали | Необходимо обрабатывать в расфокусе, сложная настройка | Возможность добиться различных цветов настройкой длительности и частоты импульсов |
| Маркировка пластика | Маркировка склонна к пожелтению | Маркировка не желтеет |
| Маркировка бутылок из прозрачного пластика | Остается налет, выброс пластика | Чистая маркирвока |
Все приведенные примеры маркировки выполнены на оборудовании, производимом компании JPT Opto-electronics.
Разработка и производство волоконных лазеров МОРА является одним из направлений компании JPT Opto-electronics. Они специализируется на исследованиях, производстве, продаже и техническом обслуживании волоконной оптики и волоконных лазеров. Продукты компании широко используются в оптической связи, оптическом зондировании, лазерной обработке, медицинской лазерной терапии и т. д. У JPT очень сильная исследовательская команда, каждый год она выполняет несколько проектов от государственных и общественных институтов, владеет многими патентами и интеллектуальной собственностью. [4]
| Компания «Ленинградские Лазерные Системы» представляет весь спектр продукции JPT на территории РФ и предлагает наиболее выгодные условия поставки продукции, полную техническую поддержку, а также поставку образцов. Для получения дополнительной информации обращайтесь в компанию ЛЛС. |
Заключение
Волоконный лазер МОРА с уверенностью можно назвать самым гибким, благодаря возможности регулировки длительности импульсов. Устройство широко применяется во многих сферах деятельности, и, поскольку область лазерных технологий растет и развивается, ожидается использование лазера в медицинской промышленности и технологии быстрого прототипирования опытных образцов.
Список литературы
1. Yao Wen, Fan Zhang, Xinhai Zhang “Tunable Nanosecond Pulse Fiber Laser with High Beam Quality and All Fiber Structure” IEEE 3rd Optoelectronics Global Conference (OGC), 2018.
2. Sami T. Hendow, Paulo T. Guerreiro, Niels Schilling, and Jan Rabe “Pulse shape control of a MOPA fiber laser for marking of stainless steel and other materials” ICALEO 2010, 951, 2010.
3. Ryan Young “Advantages of MOPA laser” URL: http://www.jptoe.com
(дата обращения: 03.02.2019).
4. Rouzbeh Sarrafi, Cristian Porneala, Xiangyang Song, Mathew Hannon, Joshua Schoenly, Dana Sercel, Sean Dennigan, Roy Van Gemert, Heath Chaplin, and Marco Mendes, “Laser micromachining with short pulsed fiber lasers” ICALEO 2015, 236, 2015.
5. The Encyclopedia of Laser Physics and Technology, URL: https://www.rp-photonics.com/master_oscillator_power_amplifier.html
6. Система двухкамерного F2 лазера с выбором линии: пат. 2298271 США: МПК H01S3/02
H01S3/09 H01S3/097/ НОУЛЕС Дэвид С. (US), БРАУН Дэниел Дж. В. (US),. [и др.]; заявитель и патентообладатель: САЙМЕР, ИНК. (US); заявл. 19.08.2002; опубл. 27.04.2007